EnContextoMx te invita a conocer la serie de reportajes «Puebla, democracia en duda», realizado por el portal Lado B, en el que nos explican la serie de irregularidades alrededor de la elección en la que, después de una controversial desición del Instituto Electoral de aquella entidad, le otorga la victoria electoral a la hoy fallecida Martha Erika Alonso.
Alejandra Padilla
En la pasada elección poblana, que se dirime en estos días en el Tribunal Electoral del Poder Judicial de la Federación (TEPJF), las irregularidades detectadas en los datos que dio a conocer el Organismo Público Electoral (OPLE) –también conocido como Instituto Estatal Electoral— generan dudas.
En un análisis hecho a tres bases de datos: la del Programa de Resultados Electorales Preliminares (PREP), la del Cómputo Distrital, y la del número total de boletas entregadas por cada casilla, información que el Instituto Electoral del Estado (IEE) entregó a este portal tras una solicitud de información, los números que deberían cuadrar no cuadran.
En el 50% de las casillas el número de personas que votaron no coincide con el número de votos computados; en 36 casillas la votación total contabilizada supera el número de personas registradas en la lista nominal; y en 32 casillas el total de votos supera el número de boletas disponibles.
Y eso, señalan especialistas consultados, impacta en la legalidad y la certeza del resultado electoral que, de acuerdo con el Artículo 41 Constitucional, es el principio que garantiza la veracidad de los resultados y, por lo tanto, la confiabilidad de la ciudadanía en el valor de su voto.

El principio de certeza se refiere a que la actuación de la autoridad electoral y los procedimientos electorales sean “verificables, fidedignos y confiables”, para que los ciudadanos “no tengan duda sobre esos aspectos”, explica el abogado Juan Bosco Rosillo.
Las inconsistencias detectadas en el análisis de los datos vulneran, en primer lugar, el principio de legalidad porque van en contra de los procedimientos y las normas electorales. “Esto genera incertidumbre en el resultado”, explica Rosillo, por lo que la certeza del proceso también es puesta en duda.
Y aunque el número de irregularidades es alto, el impacto podría no ser significativo pues en términos reales no cambia el resultado electoral ya que se trata, en número de votos, de una cifra menor a la diferencia entre el primero y el segundo lugar.
Casillas con más votos que votantes
El día de la elección los funcionarios de casilla llenan un acta de escrutinio que contiene, entre otros datos, el número de personas que votaron según la lista nominal, esa información que se marca cuando cada persona llega a votar y le entregan las boletas correspondientes.
A ese número se le suma el número de votos de los representantes de partidos que votan en esa casilla, aun sin estar en lista nominal, y el resultado debería coincidir con el número total de votos asentados en el cómputo distrital que se realiza tres días después de la elección, cuando los paquetes electorales se revisan en los consejos distritales.
Pero esto no sucedió en la elección poblana. La comparación entre el dato asentado en las actas de escrutinio y el que se asentó en los cómputos distritales –donde además de revisar se pueden abrir los paquetes electorales y recontar las boletas en caso de encontrar irregularidades en las actas– muestra que en mil 242 casillas hubo más votos que personas que votaron y en 2 mil 553 casillas hubo más votantes que votos.
En total son 3 mil 842 casillas con irregularidades, esto significa 50% de las 7 mil 456 instaladas el día de la jornada electoral.
Coincidencia entre votos-personas que votaron en la elección a gobernador de Puebla
Si bien esas diferencias pueden deberse a errores humanos, pues se trató de una elección inédita en la que estuvieron en juego seis procesos, tres federales y tres locales, los errores debieron haber sido subsanados durante los cómputos distritales.
Pero si esos errores aumentan en las actas del cómputo distrital, lo que procede es abrir los paquetes; de lo contrario, las autoridades electorales “están apostando a la opacidad”, explicó en entrevista José Antonio Crespo, investigador del Centro de Investigación y Docencia Económicas (CIDE).
Crespo dijo que “si las inconsistencias son menores a la diferencia entre el primer y el segundo lugar, no hay causas de nulidad, en ese caso sí hay certeza sobre quién ganó”.
En este caso, los votos excedentes suman 31 mil 765, mientras que la diferencia entre el primero y el segundo lugar fue de 124 mil 747 votos, de acuerdo con la cifra que el IEE reconoció en la entrega de la constancia de mayoría.
LADO B pidió al TEPJF la información del recuento de votos que ordenó como parte del proceso de judicialización de la elección poblana, pero declaró como reservada dicha información hasta el 14 de diciembre.
A esas irregularidades se suman las publicadas en el estudio “Elección de Estado en Puebla”, encabezado por Miguel Reyes Hernández, investigador de la Universidad Iberoamericana (Ibero) campus Ciudad de México, y coordinador del grupo académico del partido Morena.
El estudio dirigido por Reyes Hernández comparó los resultados de la elección de presidente con la de gobernador en el estado, y encontró que en los resultados que ofrece la autoridad electoral local hay urnas con votos robados (en donde hubo más boletas en la elección presidencial que en la de gobernador) y urnas embarazadas (donde hubo más votos en la elección de gobernador que en la presidencial).
De acuerdo con Miguel Reyes, la tendencia de casillas con discrepancias entre el número de votos y el de personas que votaron incrementa la falta de certeza en los resultados de la elección y confirma que el IEE no solo no corrigió las irregularidades, sino que en algunos casos las incrementó.
Y para sumar a la incertidumbre en el resultado electoral está el hecho de que la bodega del IEE en la que se resguardaron los paquetes de la elección de gobernador carecía de sellos de seguridad, según dio a conocer el representante de Morena ante el IEE, Juan Pablo Cortés Córdova, cuando se realizó el traslado de paquetes a la ciudad de México para el recuento ordenado por el TEPJF.
Tres días después del traslado, el 27 de septiembre, Cortés Córdova denunció públicamente que durante la sesión de recuento se hallaron 12 paquetes electorales vacíos, sin boleta alguna.
Casillas con participación de 100 a 201%
El número máximo de votantes por casilla es 750, así lo dice la Ley General de Instituciones y Procedimientos Electorales aprobada en 2014; pueden ser menos, pero nunca más de 750. En caso de que el número de electores de una sección supere esa cifra los órganos electorales deberán instalar una casilla contigua.
Esto significa que en caso de que el 100 por ciento de los electores hubiera acudido a votar es imposible, legalmente, que una casilla tenga más de 750 votos, pero en Puebla pasó lo imposible.
De acuerdo con los datos del Cómputo Distrital hay 36 casillas que tienen entre 761 y mil 368 votos, es decir, entre 11 y 618 votos más que el número máximo de votantes registrados en la lista nominal por casilla.
“Es raro que en una casilla vote toda la lista nominal, pero es legal”, dice Arturo Erdely, profesor e investigador de la Facultad de Estudios Superiores (FES) Acatlán de la Universidad Nacional Autónoma de México (UNAM).El problema, lo ilegal, lo imposible, es que en 36 casillas haya habido una participación de más del 100 por ciento.
Estas casillas fueron instaladas en 19 municipios del estado: Ajalpan, Cuautlancingo, Cuetzalan, Izúcar de Matamoros, Libres, Los Reyes de Juárez, Naupan, Nopalucan, Puebla, Quecholac, San Gabriel Chilac, San Nicolás Buenos Aires, Santiago Miahuatlán, Tecali de Herrera, Tecamachalco, Tepeaca, Tepeyahualco de Cuauhtémoc, Tetela de Ocampo, Tlahuapan y Tlatlauquitepec.Y casi una tercera parte de esas casillas (13) fueron instaladas en la capital del estado.

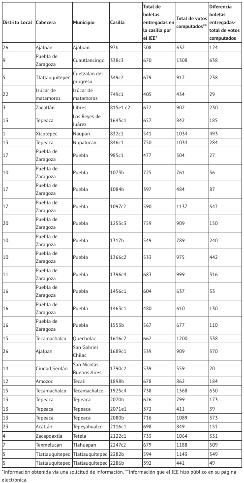
Casillas con más votos que boletas

Votos vs boletas: no coinciden
Para este trabajo se revisó también que el número de boletas entregadas por la autoridad coincidiera con el número total de boletas que se reportaron, usadas y no, tras la elección.
Para eso se tomó el dato “boletas sobrantes” que se registra en las actas de escrutinio la noche de la jornada electoral, donde se asienta el número de boletas que no fueron utilizadas en la elección.
Boletas entregadas vs boletas usadas

Más votos para gobernador que para diputados locales y presidentes municipales


Diferencia entre las elecciones de gobernador y presidenteLos cómputos de la elección federal comandada por el Instituto Nacional Electoral (INE) y la estatal a cargo del IEE, muestran una diferencia de 64 mil 118 votos a pesar de que se votó con el sistema de casilla única, es decir a los ciudadanos se les entregó en un mismo paquete las boletas de las elecciones federales y locales, seis boletas que debieron depositar en seis urnas.



1.-
2.- 





